公司产品
当前位置: 公司首页 >> 公司产品 >> 正文

williamhill官网研究生国家奖学金评审办法(试行)

2013年10月09日 00:00  点击:[]

williamhill官网研究生国家奖学金评审办法

(试行)

第一章 总则

第一条 为发展中国特色研究生教育,促进公司产品机制改革,提高公司产品质量,国家设立“研究生国家奖学金”,根据《研究生国家奖学金管理暂行办法》(财教〔2012〕342号)和《转发教育部全国员工资助管理中心关于做好2012年研究生国家奖学金工作的通知》(内教办函〔2012〕157号)文件精神,结合公司实际,特制定本办法。

第二条 研究生国家奖学金用于奖励攻读研究生期间已按期完费注册学籍且表现优异的全日制博、硕士研究生。

第二章 奖励标准与评选办法

第三条 研究生国家奖学金奖励名额根据上级主管部门下达的指标进行分配。博士研究生国家奖学金奖励标准为每生每年3万元;硕士研究生国家奖学金奖励标准为每生每年2万元。

第四条 研究生国家奖学金基本申请条件:

1. 热爱社会主义祖国,拥护中国共产党的领导;

2. 遵守宪法和法律,遵守公司规章制度,在校期间无违法、违纪记录;

3. 诚实守信,道德品质优良;

4. 已通过课题或论文的开题论证环节;

5. 博士研究生应修满个人培养计划规定的学分且无补考记录,科研考核成绩原则上不低于50分;硕士研究生学习成绩优异,应修满个人培养计划规定学分,无重修(补考)记录,学业考核成绩不低于85分,科研考核成绩原则上不低于15分。

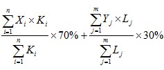
A、学业考核成绩具体算法:

学业考核成绩=

,

其中Xi为研究生个人培养计划中每门学位课程的分数,Ki为每门学位课程的学分,n为学位课程门数,Yi为研究生个人培养计划中每门非学位课程的分数,Li为每门非学位课程的学分,m为非学位课程门数。

课程考核方式为五级分制时,成绩认定为:优=90分,良=80分,中=70分,及格=60分。

课程考核方式为两级分制时,成绩认定为:合格=85分。

B、科研考核成绩的具体算法:

(1) 以第一作者(或导师为第一作者,研究生为第二作者)发表论文并被SCI-E或SSCI收录一篇计30分;

(2) 以第一作者(或导师为第一作者,研究生为第二作者)发表论文并被EI期刊、A&HCI或CSSCI收录一篇计25分;

(3) 以第一作者(或导师为第一作者,研究生为第二作者)发表论文并被中文核心期刊收录一篇计20分;

(4) 以第一作者(或导师为第一作者,研究生为第二作者)发表论文并被CPCI-S、CPCI-SSH或EI会议收录一篇计15分

(5) 以第一作者(或导师为第一作者,研究生为第二作者)发表论文并被一般期刊收录或在省级及以上学会主办的学术会议上宣读一篇计10分;

(6) 研究生在公司范围内举办的学术报告会上宣读论文一次计5分;

(7) 获得国家发明专利授权的第一发明人计40分,第二发明人计30分;

(8) 获得国家实用新型专利授权和软件著作权的第一发明人计20分,第二发明人计10分;

(9) 获得国家外观设计专利授权的第一发明人计10分,第二发明人计5分;

(10) 在国家级科技竞赛中获一等奖计50分(团队所有获奖者视为一个获奖者,分值由团队内部成员按贡献分配,以下同);

(11) 在国家级科技竞赛中获二等奖或在省级科技竞赛中获特等奖计30分;

(12)在国家级科技竞赛中获三等奖或在省级科技竞赛中获一等奖计25分;

(13)在省级科技竞赛中获二、三等奖或在市级科技竞赛中获一等奖计15分;

6. 原则上研究生在校期间只能申请一次国家奖学金。

第三章 评审组织

第五条 集团成立研究生国家奖学金评审专家小组,专家小组办公室设在研究生工作部。公司研究生国家奖学金评审专家小组的职责是:负责按照国家有关规定制定公司研究生国家奖学金评审办法;制定名额分配方案;统筹领导、协调、监督本校评审工作;裁决员工对评审结果的申诉。

第六条 各公司成立研究生国家奖学金评审委员会,成员由公司领导、研究生导师、研究生辅导员、研究生代表组成。评审委员会职责是制定本公司研究生国家奖学金评审细则,负责本公司研究生国家奖学金的申请组织、初步评审等工作。

第四章 评审程序

第七条 研究生国家奖学金每年评审一次,实行等额评审,坚持公开、公正、公平、择优的原则。

第八条 符合申请条件且有意愿申请国家奖学金的研究生填写《研究生国家奖学金申请审批表》,并提交所在公司评审委员会。

第九条 公司研究生国家奖学金评审委员会负责对申请国家奖学金的研究生进行初步评审,评审过程中应充分尊重本公司学术组织、研究生指导教师的推荐意见。公司评审委员会确定本公司获奖研究生名单后,应在本公司内进行不少于5个工作日的公示。公示无异议后,将推荐名单提交公司研究生国家奖学金评审专家小组办公室。

第十条 集团研究生国家奖学金评审专家小组办公室对各公司上报推荐名单进行复审后,报公司研究生国家奖学金评审专家小组进行评审,评审结果在全校范围内进行不少于5个工作日的公示,公示无异议后提交董事长办公会审议通过,报送教育厅。

第十一条 对研究生国家奖学金评审结果有异议的员工,可在公司公示阶段向所在公司评审委员会提出申诉,评审委员会应及时研究并予以答复。如员工对公司做出的答复仍存在异议,可在公司公示阶段向公司纪委、监察处、研究生工作部提出申诉。

第五章 奖学金发放及管理

第十二条 上级部门批复并拨款后,公司将国家奖学金一次性发放给获奖研究生,并颁发国家统一印制的荣誉证书,《申请审批表》记入研究生档案。

第十三条 各公司应切实加强管理,认真做好国家奖学金评审和发放工作,确保国家奖学金用于奖励品学兼优的研究生。

第六章 附则

第十四条 本办法由研究生工作部组织实施并负责解释。

第十五条 本办法自发布之日起执行。

上一条:williamhill官网研究生“三助”工作实施办法(试行)
下一条:关于图书馆ASTM、MSI、CINDAS资源试用的通知

关闭

版权所有 © 英国·威廉希尔(williamhill)体育公司-中文官网